Normally Open Timed Open Relay : On Delay Timer : Its potential free contacts turns to open when its coil energized.. How the 4 pin relay system works type normally open and normally closed wire relay 4 pin basic relay diagram how to test relay. I then open or set to on the relay via mqtt to turn off the printer. When relating normally open/normally closed to a single pole, single throw relay, it will be the state that the contacts are in when the power to the when relating to a single pole, double throw relay (spdt), you will have both conditions at the same time. In figure 1 no dc voltage is applied to points a and b therefore no current flows through the coil of the relay, the contact stays in the opened position and the fan will not be switched on because it's disconnected from the 220v. These systems convert electrical currents what's the difference between normally open and normally closed relays?

I now have an instance where i don't want to chance a power failure with the relay which would result in the contacts being. Based on hybrid architecture which allows fast switching times with a wide operating ambient. What is time delay relay? Its potential free contacts turns to open when its coil energized. Timing relays are arranged for an intentional delay in operating their contacts.

Types Of Time Delay Relay Applications Of Time Delay Relay Instrumentation And Control Engineering
Types Of Time Delay Relay Applications Of Time Delay Relay Instrumentation And Control Engineering from cdn.automationforum.co
With a common movable contact contacting. Consider no terminal, it's normally open like an open switch, when you energize coil, it conducts i.e.it becomes closed. Overviews power supplies and where wires are connected. I know everyone will tell me to set the sonoff to basic and manually configure the relay gpio pin to invert for normally closed but then you lose all the great features/benefits of the sonoff configuration. Based on hybrid architecture which allows fast switching times with a wide operating ambient. I then open or set to on the relay via mqtt to turn off the printer. It is also caltid a form a contact or make contact. Normally open — in electronics, a normally open switch is one that normally prevents current flow and which allows current to flow when it is perturbed.

• isolation test voltage 5300 vrms.

Most of these time relays have multiple time setting ranges and most. A normally open set of contacts used in an electric magnetic relay will be in the open position when the relay is: Реле с замыкающими контактами, реле с нормально разомкнутыми контактами. It is closed by applying power to. With a common movable contact contacting. In this episode, we will see construction and working of relays and the different types of relays such as normally open and normally closed.it's relatively. Aliexpress carries many relay with remote control normally open close related products, including 12v 8 pin power relay , microcomputer relay , wifi 3 wire relay , 3 pin dc relay , relay with sms control , 12v normal open power relay , pins 5a power relay , 12v time delay relay second , v3.0 nec relays. Normally open contacts that provide a path for current to the coil which operates them. The circuit is disconnected when the relay is inactive. These systems convert electrical currents what's the difference between normally open and normally closed relays? 06.05.2019 · normally open relay: Based on hybrid architecture which allows fast switching times with a wide operating ambient. In figure 1 no dc voltage is applied to points a and b therefore no current flows through the coil of the relay, the contact stays in the opened position and the fan will not be switched on because it's disconnected from the 220v.

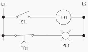
Aliexpress carries many relay with remote control normally open close related products, including 12v 8 pin power relay , microcomputer relay , wifi 3 wire relay , 3 pin dc relay , relay with sms control , 12v normal open power relay , pins 5a power relay , 12v time delay relay second , v3.0 nec relays. Determine what each of the lamps will do in the following circuit when pushbutton ä is pressed for 10 seconds and then released You can also choose from auto, pcb, and. Its potential free contacts turns to open when its coil energized. An open relay server is like keeping your home door unlocked and waiting to get robbed.

Industrial Motor Control Timing Relays
Industrial Motor Control Timing Relays from www.industrial-electronics.com
Consider no terminal, it's normally open like an open switch, when you energize coil, it conducts i.e.it becomes closed. It is also caltid a form a contact or make contact. As with switches, the normal state of a relay's contacts is the choice of contacts in a relay depends on the same factors which dictate contact choice in other types of switches. When power is introduced, an electromagnet pulls the first circuit into contact with the second. An open relay server is like keeping your home door unlocked and waiting to get robbed. Overviews power supplies and where wires are connected. The open relay server is bad because of the following reasons these reputation will get lost in no time if someone sends spam through it and it gets very difficult to earn it back. • isolation test voltage 5300 vrms.

It is closed by applying power to.

When power is introduced, an electromagnet pulls the first circuit into contact with the second. As with switches, the normal state of a relay's contacts is the choice of contacts in a relay depends on the same factors which dictate contact choice in other types of switches. Timers are constructed with dials, displays, or some type of operator interface used to set the time and contact state to normally open or normally closed on the device. In figure 1 no dc voltage is applied to points a and b therefore no current flows through the coil of the relay, the contact stays in the opened position and the fan will not be switched on because it's disconnected from the 220v. A wide variety of open relay options are available to you, such as electromagnetic relay, voltage relay, and time relay. 1,886 open relay products are offered for sale by suppliers on alibaba.com, of which relays accounts for 19%, contactors accounts for 1%. Determine what each of the lamps will do in the following circuit when pushbutton ä is pressed for 10 seconds and then released 06.05.2019 · normally open relay: Time relays are used in control switching operations involving time delay. With a common movable contact contacting. Реле с замыкающими контактами, реле с нормально разомкнутыми контактами. An open relay server is like keeping your home door unlocked and waiting to get robbed. Aliexpress carries many relay with remote control normally open close related products, including 12v 8 pin power relay , microcomputer relay , wifi 3 wire relay , 3 pin dc relay , relay with sms control , 12v normal open power relay , pins 5a power relay , 12v time delay relay second , v3.0 nec relays.

Otherwise, a relay with several normally open (no) contacts may stick when energised, with some contacts closed and others still slightly open, due to mechanical tolerances. Overviews power supplies and where wires are connected. The open relay server is bad because of the following reasons these reputation will get lost in no time if someone sends spam through it and it gets very difficult to earn it back. You can also choose from auto, pcb, and. Its potential free contacts turns to open when its coil energized.

Industrial Motor Control Timing Relays
Industrial Motor Control Timing Relays from www.industrial-electronics.com
With a common movable contact contacting. Buy the best and latest normally open relay on banggood.com offer the quality normally open relay on sale with worldwide free shipping. The circuit is disconnected when the relay is inactive. Time relays are used in control switching operations involving time delay. When relating normally open/normally closed to a single pole, single throw relay, it will be the state that the contacts are in when the power to the when relating to a single pole, double throw relay (spdt), you will have both conditions at the same time. Although they both are built with two circuits—one of which being larger. I then open or set to on the relay via mqtt to turn off the printer. Normally open relays default in the open position, meaning that when they're not in use, there is no contact between the circuits.

A normally open set of contacts used in an electric magnetic relay will be in the open position when the relay is:

Based on hybrid architecture which allows fast switching times with a wide operating ambient. When power is introduced, an electromagnet pulls the first circuit into contact with the second. Its potential free contacts turns to open when its coil energized. All relays have both normally close as well as normally open contacts. As with switches, the normal state of a relay's contacts is the choice of contacts in a relay depends on the same factors which dictate contact choice in other types of switches. With a common movable contact contacting. In figure 1 no dc voltage is applied to points a and b therefore no current flows through the coil of the relay, the contact stays in the opened position and the fan will not be switched on because it's disconnected from the 220v. 06.05.2019 · normally open relay: • isolation test voltage 5300 vrms. A normally open set of contacts used in an electric magnetic relay will be in the open position when the relay is: I then open or set to on the relay via mqtt to turn off the printer. I now have an instance where i don't want to chance a power failure with the relay which would result in the contacts being. The circuit is disconnected when the relay is inactive.

By